Medical imaging

PrintPrint

Nature of science:

Risk analysis: The doctor’s role is to minimize patient risk in medical diagnosis and procedures based on an assessment of the overall benefit to the patient. Arguments involving probability are used in considering the attenuation of radiation transmitted through the body. (4.8)

Understandings:
  • Detection and recording of X-ray images in medical contexts
  • Generation and detection of ultrasound in medical contexts
  • Medical imaging techniques (magnetic resonance imaging) involving nuclear magnetic resonance (NMR)

Applications and skills:

  • Explaining features of X-ray imaging, including attenuation coefficient, half-value thickness, linear/mass absorption coefficients and techniques for improvements of sharpness and contrast
  • Solving X-ray attenuation problems
  • Solving problems involving ultrasound acoustic impedance, speed of ultrasound through tissue and air and relative intensity levels
  • Explaining features of medical ultrasound techniques, including choice of frequency, use of gel and the difference between A and B scans
  • Explaining the use of gradient fields in NMR
  • Explaining the origin of the relaxation of proton spin and consequent emission of signal in NMR
  • Discussing the advantages and disadvantages of ultrasound and NMR scanning methods, including a simple assessment of risk in these medical procedures
International-mindedness:
  • There is constant dialogue between research clinicians in different countries to communicate new methods and treatments for the good of patients everywhere
  • Organizations such as Médecins Sans Frontières provide valuable medical skills in parts of the world where medical help is required

Theory of knowledge:

  • “It’s not what you look at that matters, it’s what you see.” – Henry David Thoreau. To what extent do you agree with this comment on the impact of factors such as expectation on perception?

Utilization:

  • Scanning the human brain (see Biology sub-topic A.4)
Guidance:
  • Students will be expected to compute final beam intensity after passage through multiple layers of tissue. Only parallel plane interfaces will be treated.

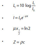
Data booklet reference:

Aims:
  • Aim 4: there are many opportunities for students to analyse and evaluate scientific information
  • Aim 8: the social impact of these scientific techniques for the benefit of humankind cannot be over-emphasized
  • Aim 10: medicine and physics meet in the hi-tech world of scanning and treatment. Modern doctors rely on technology that arises from developments in the physical sciences.