|
Nature of science: Modelling: The use of models has different purposes and has allowed scientists to identify, simplify and analyse a problem within a given context to tackle it successfully. The extension of the point particle model to actually consider the dimensions of an object led to many groundbreaking developments in engineering. (1.2) |
|
Understandings:
Applications and skills:
|
Theory of knowledge:
Utilization:
Aims:
|
Guidance:
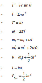
Data booklet reference:
|
|
